![]() | |
| Clinical data | |
|---|---|
| Trade names | Exluton, Ministat, others |
| Other names | Linestrenol; Lynenol;[1] NSC-37725; 17α-Ethynylestr-4-en-17β-ol; 19-Nor-17α-pregn-4-en-20-yn-17-ol[1] |
| AHFS/Drugs.com | International Drug Names |
| Routes of administration | By mouth |
| Drug class | Progestogen; Progestin |
| ATC code | |
| Identifiers | |
| |
| CAS Number | |
| PubChem CID | |
| ChemSpider | |
| UNII | |
| KEGG | |
| CompTox Dashboard (EPA) | |
| ECHA InfoCard | 100.000.139 |
| Chemical and physical data | |
| Formula | C20H28O |
| Molar mass | 284.443 g·mol−1 |
| 3D model (JSmol) | |
| |
| |
| (verify) | |
Lynestrenol, sold under the brand names Exluton and Ministat among others, is a progestin medication which is used in birth control pills and in the treatment of gynecological disorders.[2][3][4] The medication is available both alone and in combination with an estrogen.[3][5][6] It is taken by mouth.[7][8]
Lynestrenol is a progestin, or a synthetic progestogen, and hence is an agonist of the progesterone receptor, the biological target of progestogens like progesterone.[9] It has weak androgenic and estrogenic activity and no other important hormonal activity.[9][10] The medication is a prodrug of norethisterone in the body, with etynodiol occurring as an intermediate.[10][11][12]
Lynestrenol was discovered in the late 1950s and was introduced for medical use in 1961.[13][14] It has mostly been used in Europe and elsewhere in the world and was never marketed in the United States.[6][15][16][17]
Medical uses
Lynestrenol is used as a component of oral contraceptives in combination with an estrogen and is used in the treatment of gynecological disorders such as menstrual disorders.[4]
Side effects
Pharmacology

Lynestrenol itself does not bind to the progesterone receptor and is inactive as a progestogen.[7][8] It is a prodrug, and upon oral administration, is rapidly and almost completely converted into norethisterone, a potent progestogen, in the liver during first-pass metabolism.[7][8] No other metabolites besides norethisterone are formed from lynestrenol.[8] As such, its pharmacological activity is essentially identical to that of norethisterone.[9] The conversion of lynestrenol into norethisterone is catalyzed by CYP2C9 (28.0%), CYP2C19 (49.8%), and CYP3A4 (20.4%), while other cytochrome P450 enzymes are each responsible for no more than 1.0% of the total conversion.[8] It appears that lynestrenol first undergoes hydroxylation of the C3 position, forming etynodiol as an intermediate,[12] followed by oxygenation of the hydroxyl group to form norethisterone.[11]
The peak blood levels are reached within 2 to 4 hours after oral administration, 97% of the administered dose being bound to plasma proteins. Lynestrenol and its metabolites are predominantly excreted in urine, less in feces, active metabolite norethisterone elimination half-life being 16 or 17 hours.
The pharmacokinetics of lynestrenol have been reviewed.[18]
| Compound | Typea | PR | AR | ER | GR | MR | SHBG | CBG |
|---|---|---|---|---|---|---|---|---|
| Norethisterone | – | 67–75 | 15 | 0 | 0–1 | 0–3 | 16 | 0 |
| 5α-Dihydronorethisterone | Metabolite | 25 | 27 | 0 | 0 | ? | ? | ? |
| 3α,5α-Tetrahydronorethisterone | Metabolite | 1 | 0 | 0–1 | 0 | ? | ? | ? |
| 3α,5β-Tetrahydronorethisterone | Metabolite | ? | 0 | 0 | ? | ? | ? | ? |
| 3β,5α-Tetrahydronorethisterone | Metabolite | 1 | 0 | 0–8 | 0 | ? | ? | ? |
| Ethinylestradiol | Metabolite | 15–25 | 1–3 | 112 | 1–3 | 0 | 0.18 | 0 |
| Norethisterone acetate | Prodrug | 20 | 5 | 1 | 0 | 0 | ? | ? |
| Norethisterone enanthate | Prodrug | ? | ? | ? | ? | ? | ? | ? |
| Noretynodrel | Prodrug | 6 | 0 | 2 | 0 | 0 | 0 | 0 |
| Etynodiol | Prodrug | 1 | 0 | 11–18 | 0 | ? | ? | ? |
| Etynodiol diacetate | Prodrug | 1 | 0 | 0 | 0 | 0 | ? | ? |
| Lynestrenol | Prodrug | 1 | 1 | 3 | 0 | 0 | ? | ? |
| Notes: Values are percentages (%). Reference ligands (100%) were promegestone for the PR, metribolone for the AR, estradiol for the ER, dexamethasone for the GR, aldosterone for the MR, dihydrotestosterone for SHBG, and cortisol for CBG. Footnotes: a = Active or inactive metabolite, prodrug, or neither of norethisterone. Sources: See template. | ||||||||
Chemistry
Lynestrenol, also known as 17α-ethynyl-3-desoxy-19-nortestosterone or as 17α-ethynylestr-4-en-17β-ol, is a synthetic estrane steroid and a derivative of 19-nortestosterone.[2][3][9][19] It differs from norethisterone (17α-ethynyl-19-nortestosterone) and etynodiol (17α-ethynyl-3-deketo-3β-hydroxy-19-nortestosterone) only by the lack of a ketone group and hydroxyl group at the C3 position, respectively.[11]
Synthesis
Chemical syntheses of lynestrenol have been published.[2][18]
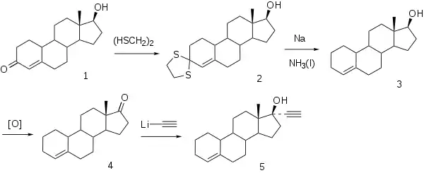
In another approach to analogues, nortestosterone (1) is first converted to the dithioketal (2) by treatment with dithioglycol in the presence of boron trifluoride. (The mild conditions of this reaction compared to those usually employed in preparing the oxygen ketals probably accounts for the double bond remaining at 4,5). Treatment of this derivative with sodium in liquid ammonia affords the 3-desoxy analog (3). Oxidation by means of Jones reagent followed by ethynylation of the 17-ketone leads to the orally active progestin (6).
History
Lynestrenol was developed by the Dutch pharmaceutical company Organon in the late 1950s and was introduced for medical use in 1961.[13][14] It received a Dutch patent for lynestrenol in 1957,[13] and lynestrenol subsequently became a component of Lyndiol, the first Dutch contraceptive pill, in 1962.[1][13][14] Around this time, pre- and post-marketing clinical trials of lynestrenol were conducted, and in 1965, a study consisting of 200 Dutch women was published.[13] Lynestrenol was approved, in the United Kingdom, in combination with mestranol in 1963 and in combination with ethinylestradiol in 1969.[16]
Society and culture
Generic names
Lynestrenol is the generic name of the drug and its INN, USAN, BAN, and JAN, while lynestrénol is its DCF and linestrenolo is its DCIT.[2][3][4][6] Lynoestrenol was formerly the BAN of the drug, but it was eventually changed to lynestrenol.[2][3][4][6]
Brand names
Lynestrenol has been marketed alone as Exluton, Exlutona, and Orgametril, in combination with mestranol as Anacyclin, Lyndiol, Lyndiol 1, Lyndiol 2.5, Nonovul, and Noracycline, and in combination with ethinylestradiol as Anacyclin, Fysioquens, Minilyn, and Ministat, among other formulations and brand names.[5][22]
Availability
Lynestrenol has been used mainly in Europe[15] and is also marketed elsewhere throughout the world.[6] The drug was never marketed in the United States.[16][17]
References
- 1 2 3 Consolidated List of Products Whose Consumption And/or Sale Have Been Banned, Withdrawn, Severely Restricted Or Not Approved by Governments. United Nations Publications. 1983. pp. 134–. ISBN 978-92-1-130230-1.
- 1 2 3 4 5 Elks J (14 November 2014). The Dictionary of Drugs: Chemical Data: Chemical Data, Structures and Bibliographies. Springer. pp. 747–. ISBN 978-1-4757-2085-3.
- 1 2 3 4 5 Index Nominum 2000: International Drug Directory. Taylor & Francis. 2000. pp. 624–. ISBN 978-3-88763-075-1.
- 1 2 3 4 Morton IK, Hall JM (6 December 2012). Concise Dictionary of Pharmacological Agents: Properties and Synonyms. Springer Science & Business Media. pp. 170–. ISBN 978-94-011-4439-1.
- 1 2 Muller (19 June 1998). European Drug Index: European Drug Registrations, Fourth Edition. CRC Press. pp. 74, 467, 525. ISBN 978-3-7692-2114-5.
- 1 2 3 4 5 "Lynestreno". Drugs.com l.
- 1 2 3 Odlind V, Weiner E, Victor A, Johansson ED (January 1979). "Plasma levels of norethindrone after single oral dose administration of norethindrone and lynestrenol". Clinical Endocrinology. 10 (1): 29–38. doi:10.1111/j.1365-2265.1979.tb03030.x. PMID 436304. S2CID 10774483.
- 1 2 3 4 5 Korhonen T, Turpeinen M, Tolonen A, Laine K, Pelkonen O (May 2008). "Identification of the human cytochrome P450 enzymes involved in the in vitro biotransformation of lynestrenol and norethindrone". The Journal of Steroid Biochemistry and Molecular Biology. 110 (1–2): 56–66. doi:10.1016/j.jsbmb.2007.09.025. PMID 18356043. S2CID 10809537.
- 1 2 3 4 Schindler AE, Campagnoli C, Druckmann R, Huber J, Pasqualini JR, Schweppe KW, Thijssen JH (2008). "Classification and pharmacology of progestins". Maturitas. 61 (1–2): 171–180. doi:10.1016/j.maturitas.2008.11.013. PMID 19434889.
- 1 2 Kuhl H (August 2005). "Pharmacology of estrogens and progestogens: influence of different routes of administration". Climacteric. 8 (Suppl 1): 3–63. doi:10.1080/13697130500148875. PMID 16112947. S2CID 24616324.
- 1 2 3 Stanczyk FZ (September 2002). "Pharmacokinetics and potency of progestins used for hormone replacement therapy and contraception". Reviews in Endocrine & Metabolic Disorders. 3 (3): 211–224. doi:10.1023/A:1020072325818. PMID 12215716. S2CID 27018468.
- 1 2 Hammerstein J (December 1990). "Prodrugs: advantage or disadvantage?". American Journal of Obstetrics and Gynecology. 163 (6 Pt 2): 2198–2203. doi:10.1016/0002-9378(90)90561-K. PMID 2256526.
- 1 2 3 4 5 Oudtshoorn N (2002). "Drugs for People: The culture of testing hormonal contraceptives for women and menGijswijt-Hofstra M, van Heteren GM, Tansey EM". Biographies of Remedies: Drugs, Medicines and Contraceptives in Dutch and Anglo-American Healing Cultures. Rodopi. pp. 128–129. ISBN 90-420-1577-2.
- 1 2 3 Drugs Available Abroad. Gale Research. 1991. ISBN 978-0-8103-7177-4.
LYNESTRENOL Countries Where Available and Release Dates: Austria; Belgium (1961); Finland (1972); France (1970); Federal Republic of Germany (1962); Mexico (1973); Netherlands (1962); Republic of South Africa (1974); Spain (1971); Sweden (1964); Switzerland.
- 1 2 Magnusson C, Baron JA (22 May 2000). "Hormone Replacement Therapy and Breast Cancer". In Lobo RA, Kelsey J, Marcus R (eds.). Menopause: Biology and Pathobiology. Academic Press. pp. 585–. ISBN 978-0-08-053620-0.
- 1 2 3 Gelijns A (1991). Innovation in Clinical Practice: The Dynamics of Medical Technology Development. National Academies. pp. 167–. NAP:13513.
- 1 2 "Drugs@FDA: FDA-Approved Drugs".
- 1 2 Die Gestagene. Springer-Verlag. 27 November 2013. pp. 15–16, 283. ISBN 978-3-642-99941-3.
- ↑ Stanczyk FZ (November 2003). "All progestins are not created equal". Steroids. 68 (10–13): 879–890. doi:10.1016/j.steroids.2003.08.003. PMID 14667980. S2CID 44601264.
- ↑ de Winter MS, Siegmann CM, Szpilfogel SA (1959). 17-Alkylated 3-deoxo-19-nortestosterones. Chem. Ind (Report). p. 905.
- ↑ "Cingestol | C20H28O". ChemSpider.
- ↑ Kolbe HK, Bergman RF (April 1976). Population/fertility control thesaurus. Population Information Program, Science Communication Division (Report). Department of Medical and Public Affairs, George Washington University.

